本期“论文精选”专栏将介绍北京科技大学谢建新院士团队近日发表于金属材料领域顶级刊物《Journal of Materials Science & Technology》上关于如何基于机器学习方法实现材料性能双重同步提升的最新研究。
1. 研究背景与挑战
Al-Cu-Mg合金(2xxx系合金)具有较高的强度、较好的耐损伤和良好的耐热性能,是制造航空关键金属构件的重要材料。飞机蒙皮、起落架轮毂等航空关键构件在服役过程中受到复杂应力作用,且需短时承受高温。同时提升Al-Cu-Mg合金室温和高温下的强度和塑性,是航空装备大型化、高可靠、长寿命发展面临的重要挑战。然而,由于铝合金成分复杂、室温和高温的主要强化相不同,同步提升室温和高温两种条件下的强度和塑性两种性能(双重同步提升)非常困难。
2. 机器学习新策略与核心方法
谢建新院士团队提出一种机器学习新策略,结合关键合金因子筛选、多目标贝叶斯优化和实验迭代,成功设计出一种高性能Al-Cu-Mg合金,实现了室温和高温下的抗拉强度(UTS)与断后伸长率(EL)四个目标性能的双重同步提升。

图1 复杂合金多目标优化机器学习成分设计策略
该策略的核心方法如下:
(1)机器学习建模:采用课题组前期提出的合金因子计算方法,从物理化学特性的角度揭示了各元素对合金性能的贡献;为了实现对不同温度下力学性能的预测,在建立机器学习模型时,将试验温度与合金因子共同作为输入变量。
(2)合金成分设计:本研究构建了同时考虑室温和200 °C两种条件下包括UTS和EL四种目标性能的贝叶斯优化效能函数,实现了性能双重同步提升的合金成分快速理性设计。

图2 基于NSGA算法的贝叶斯优化合金成分设计方法
3. 模型效果与设计结果
通过相关性筛选、递归消除和穷举筛选,确定了五个影响UTS和EL的关键合金因子,将其与测试温度一起作为UTS和EL预测模型的输入,UTS和EL模型的均方根误差(RMSE)分别为13.1 MPa和1.9%,模型预测精度较高。 
图3 抗拉强度(UTS)模型和断后伸长率(EL)模型的预测效果
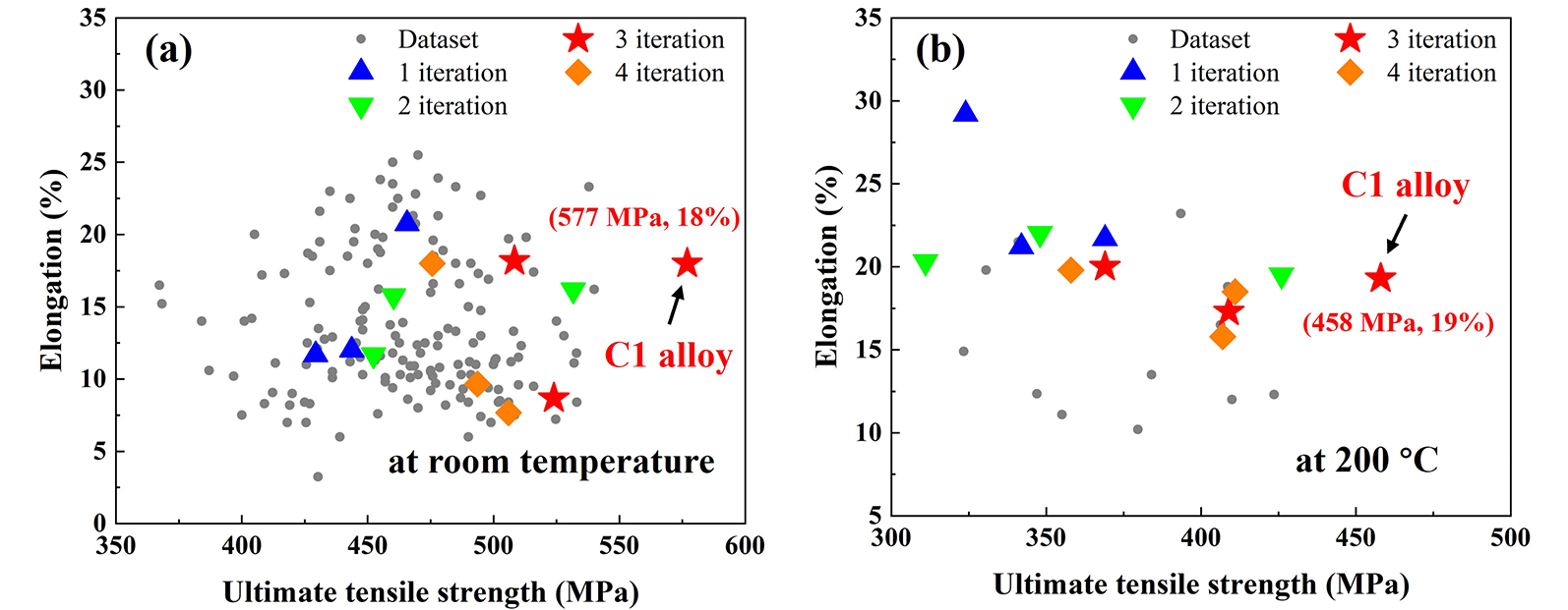
基于遗传算法,通过贝叶斯优化进行三轮实验迭代后,快速设计出新型合金C1(Al-4.3Cu-1.7Mg-0.5Mn-0.5Zn-0.2Zr-0.2Cr-0.1Ti)。新合金在室温下的实测UTS和EL分别为577±4 MPa和18.0%±0.5%;在200 ℃下,UTS和EL分别为458±7 MPa和19.3%±0.9%,均表现出优异的强度-塑性同步提升。

图4 室温(a)和200 ℃下(b)数据集中的样本和迭代实验合金的力学性能
4. 性能验证与组织分析
在150 °C以上的所有测试温度下,C1合金的实测强度和塑性均高于2524合金和2014合金。该结果表明,本文提出的机器学习策略很好地实现了合金在室温和高温两种条件下的强度和塑性的双重同步提升。 
图5 新合金C1、2524铝合金和2014铝合金在不同温度下的拉伸测试曲线:(a) 室温;(b) 150 °C;(c) 200 °C;(d) 250 °C;(e) 300 °C;(f) 350 °C
经时效处理后,新合金中存在大量弥散分布的针状S相(Al2CuMg),还观察到了具有多重孪晶结构的盘状T相(Al20Cu2Mn3)。而2524铝合金的主要强化相是针状S相和长条状T相,2014铝合金中的主要析出相为针状的θ’相(Al2Cu)和球状的β相(Mg2Si)。新合金中更细的晶粒尺寸、大量的纳米级S相(体积分数4.3%)和具有核壳结构的多孪晶T相(体积分数3.1%)使合金在室温和高温下同时具有优异强度和断后伸长率,是性能提升的核心机制。

图6 新合金C1(a1-d1)、2524(a2-d2)和2014(a3-d3)三种合金的析出相形貌、成分、以及相和基体界面特征的比较 
图7 新合金C1中T相的APT分析结果:(a) 原子分布图;(b) 析出相成分线分析结果。新合金C1中的T相富含Cr元素,而Cu、Mg、Zn元素在T相与基体的界面处富集。此外,从T相心部到边部,Cr元素的含量逐渐增加,Mn元素的含量逐渐减少。
论文原文:
Hao Hu, Fan Zhao, Wei Yong, Lei Jiang, Zhihao Zhang, Jianxin Xie. A machine learning strategy to achieve dual-synchronous property improvement of aviation Al-Cu-Mg alloy. Journal of Materials Science & Technology, 2026, 244: 208–230.
您可通过下列网址进行浏览:
https://www.sciencedirect.com/science/article/pii/S100503022500564X
这项研究所提出的材料性能建模和成分优化创新方法可为其他合金体系多种性能的同步提升提供有价值的参考,也展现了人工智能赋能材料科学的巨大潜力。目前,新材料大数据中心正着手开发本项研究所涉及的材料机理分析相关软件,敬请期待!
请您先登录
